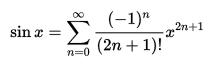
Na implementação, estamos fixando as iterações em 20 e o arredondamento em 10 casas decimais. Observa-se a função de apoio Fatorial, a mesma que implementamos no post sobre recursividade.
Function Fatorial([Int32]$num) { if ($num -eq 0) { return 1 } return $num * (Fatorial($num-1)) } Function Seno($x,$max) { $senoX = $x - ([math]::Pow($x,3) / (Fatorial 3)) For ($n=2;$n -lt $max;$n++) { $senoX = $senoX + [math]::Pow(-1,$n)*[math]::Pow($x,(2*$n+1)) / (Fatorial (2*$n+1)) } Return $senoX } Clear-Host $angulo = Read-Host "Digite um ângulo para calcular o Seno" $rad = $angulo / 180 * [math]::PI $seno = [math]::Round((Seno $rad 20),10) Write-Host -ForeGroundColor Yellow "Seno($angulo°)=$seno"


Nenhum comentário:
Postar um comentário